
笼目超导体薄层环形器件中多电子凝聚超导态的实验证据。
超导是一种极其重要的宏观量子物态,具有零电阻、抗磁性、双电子量子化磁通(h/2e)等特性,自1911年发现以来得到了学术界和工业界的广泛关注。无论是对于常规超导(BCS超导体)还是非常规超导(铜基、铁基高温超导体,拓扑超导体等),当前对于超导的认知都是建立在双电子(费米子)配对的图像(超导库珀对)之上。超导态是否可以由超越两个费米子的多电子凝聚构成,是物理学界核心研究课题之一,相关研究不仅对于超导认知具有极其重要的科学意义,也有望为多费米子态的研究,例如核物理中双质子和双中子构成的α粒子凝聚以及高能物理里的多夸克态等,提供新的视角。然而,尽管前期有不少关于多电子超导凝聚态的理论工作,多电子超导一直未被实验发现。
近日,JDB电子娱乐官网量子材料科学中心王健教授课题组与波士顿学院物理系汪自强教授、中国人民大学雷和畅教授、中国科学院物理研究所沈洁特聘研究员合作,在笼目超导体CsV3Sb5薄层环形器件中发现了一种全新的超越二电子(库珀对)凝聚的,由四个电子和六个电子相干形成的多电子超导态的实验证据。这一工作是首次在实验上观测到多电子超导现象,为探索和理解多费米子形成的新奇物质态开辟了方向。该工作以“笼目超导体环形器件中的电荷-4e和电荷-6e磁通量子化与多电荷超导”(Charge-4e and Charge-6e Flux Quantization and Higher Charge Superconductivity in Kagome Superconductor Ring Devices)为题,于2024年5月13日发表于学术期刊《物理评论X》(Phys. Rev. X 14, 021025 (2024))上,并被编辑以“物理特写”(Featured in Physics)形式重点推荐。
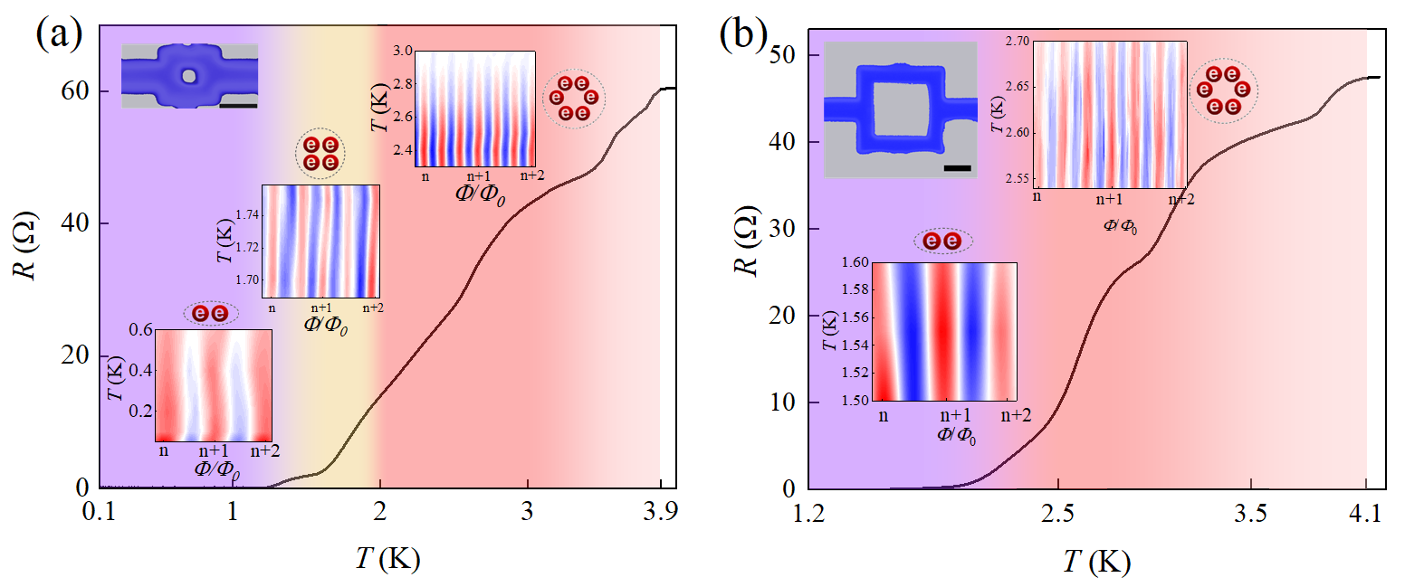
在超导的研究当中,量子化的磁通是揭示超导体中电子配对的强有力工具。例如,1962年利特尔、帕克斯在空心薄壁圆柱锡(Sn)超导体中观测到了电阻随磁场的周期性振荡,振荡周期对应于h/2e的量子磁通,被认为是双电子库珀对存在的关键证据。超导干涉器件,例如环形超导器件与超导量子干涉器件(SQUID),是研究量子化磁通最常用的手段。针对新型层状笼目(kagome)超导体CsV3Sb5,王健课题组利用机械剥离和微纳加工的方法制备了薄层CsV3Sb5器件(厚度约为15-30纳米),在此基础上加盖保护层进行微纳刻蚀得到了CsV3Sb5薄层环形器件(图1),并对薄层环形器件的电输运性质进行了系统研究。图2a展示了较小尺寸(环内径约为164纳米)CsV3Sb5薄层环形器件低温下(4 K-0.07 K)的电阻-温度曲线,其零电阻超导临界温度为1.1 K,超导起始转变温度为3.9 K。通过系统的磁电阻测量,在零电阻超导临界温度以下,当施加的垂直磁场抑制了超导零电阻后,研究人员观测到了薄层环形器件中电阻随外加磁场的周期性振荡(图2b),振荡周期对应于库珀对的量子磁通h/2e,表明在零电阻超导临界温度以下,CsV3Sb5环形器件的超导态为双电子凝聚态,即库珀对超导。当温度升高到零电阻超导临界温度(1.1 K)以上,h/2e振荡消失。当温度继续升高到1.65 K,磁阻曲线中出现了另一种周期的振荡(图2c),其振荡周期约为低温下(0.1 K-1.0 K)h/2e振荡周期的一半,对应于h/4e的量子化磁通。h/4e振荡在1.8 K消失,随着温度进一步升高到2.3 K-3.0 K,另一种全新的周期振荡被观测到,其周期为h/2e振荡周期的1/3,对应于h/6e量子化磁通(图2d-g)。类似的结果在相似尺寸的其他环形器件中也被观测到。h/4e和h/6e量子化磁通的发现表明CsV3Sb5环形器件中存在四电子和六电子的超导凝聚态。

图1.(a)笼目超导体CsV3Sb5晶体结构示意图。(b)笼目超导体CsV3Sb5环形器件示意图。

图2. (a) 较小尺寸CsV3Sb5环形超导器件(环内径约为164纳米)电阻-温度曲线。插图为覆盖有保护层的环形器件的着色电子扫描显微镜图,图中红色方框为该器件中h/2e、h/4e、h/6e振荡的有效面积。(b) 扣除平滑磁阻背底后的h/2e振荡。(c) 扣除平滑磁阻背底后的h/4e振荡。 (d) 扣除平滑磁阻背底后低磁场区域的h/6e振荡。 (e) 低磁场区域的h/6e振荡原始磁阻曲线。(f) 高磁场区域的h/6e振荡原始磁阻曲线(仍处于超导转变区间)。(g) 扣除平滑磁阻背底后高磁场区域的h/6e振荡。(h) h/2e,h/4e与h/6e振荡的n-Hn线性拟合,其中n为整数或半整数,整数代表对应振荡的谷,半整数代表对应振荡的峰,Hn则代表谷(峰)对应的磁场值。(g) h/2e,h/4e与h/6e振荡的FFT结果。
为了进一步验证观测结果的可靠性,研究人员用同样的流程制备了不同尺寸的CsV3Sb5环形超导器件。在大尺寸(环内径约为1微米)的环形超导器件中(图3a),研究人员在低温下观测到了周期对应于量子磁通h/2e的磁阻振荡(图3b-d)。当温度升高到2.5 K以上时,另一种全新振荡出现,其周期为低温下h/2e振荡周期的1/3,对应于h/6e量子化磁通(图3e-g)。类似的结果在另外两个微米级器件中重复观测到,证实了结果的可靠性。值得注意的是,在较小尺寸环形器件中,随着温度升高,发生了由h/2e到h/4e再到h/6e的量子化磁通的变化,而在大尺寸(微米级)器件中,随着温度升高,量子化磁通由h/2e直接演变到h/6e(图4)。

图3. (a) 大尺寸(环内径约为1微米)CsV3Sb5环形超导器件电阻-温度曲线。插图为覆盖有保护层的环形器件的着色电子扫描显微镜图,图中红色方框为该器件中h/2e、h/6e振荡的有效面积。绿色框为假设h/6e振荡其实是h/2e振荡所对应的有效面积,远超出器件尺寸,表明假设不成立。(b) 扣除平滑磁阻背底后的h/2e振荡。(c) h/2e振荡的n-Hn线性拟合。(d) h/2e振荡的FFT结果。(e) 扣除平滑磁阻背底后的h/6e振荡。(f) h/6e振荡的n-Hn线性拟合。(g) h/6e振荡的FFT结果。

图4. (a)较小尺寸(环内径约为164纳米)CsV3Sb5环形器件中,随着温度升高,发生了由h/2e到h/4e再到h/6e的量子化磁通的变化。(b)在大尺寸(环内径约为1微米)器件中,随着温度升高,量子化磁通由h/2e直接演变到h/6e。
为了进一步证实CsV3Sb5环形超导器件中观测到的h/4e和h/6e量子化磁通是本征的,研究人员用同样的方法、流程与刻蚀参数制备了多个常规超导体铌(Nb)的环形器件。在Nb的环形器件中,研究人员只在很窄的温区内(约为0.05 K)观测到了周期对应于量子磁通h/2e的磁阻振荡(图5),与前期常规超导体的研究结果一致。这表明CsV3Sb5环形超导器件中观测到的h/4e和h/6e量子化磁通是本征的,来源于CsV3Sb5中的多电子超导态。

图5.(a)常规超导体铌环形器件器件电阻-温度曲线。插图为覆盖有保护层的铌环形器件的着色电子扫描显微镜图,图中红色方框为该器件中h/2e振荡的有效面积。(b), (c) 铌环形器件中的h/2e振荡。
h/2e振荡被认为是双电子凝聚超导态,即库珀对凝聚态的关键证据。王健课题组在CsV3Sb5薄层环形超导器件超导转变温区观测到的h/4e与h/6e周期磁阻振荡,表明了样品中四电子与六电子超导相干态的存在。理论上,当序参量破缺了额外对称性(U(1)规范不变性之外的对称性)的双电子凝聚超导态“熔化”时,额外的对称性破缺在某个阶段将被涨落恢复, 体系有可能出现多电子超导态。超导配对密度波就是这样一个破缺了平移对称性的双电子凝聚超导态。前期扫描隧道显微镜研究表明CsV3Sb5中存在旋子配对密度波,因此王健课题组实验观测到的多电子超导态,可能来源于CsV3Sb5中超导配对密度波在升温过程中发生“熔化”。对于六方晶系、具有旋子配对密度波的CsV3Sb5而言,超导配对密度波在升温过程中 “熔化”之后,将出现本征的六电子束缚态超导。这与研究人员观测到的不同尺寸环形器件中均存在的鲁棒的h/6e振荡一致。理论上,相比于六电子凝聚超导态,四电子束缚态在CsV3Sb5中是手征的,受器件加工过程中的应力、旋转位移缺陷等因素影响,具有更小的相干长度,这也与h/4e周期振荡仅在较小尺寸环形器件中被观测到的实验结果一致。
CsV3Sb5环形超导器件h/6e与h/4e周期性量子振荡的发现,揭示了电荷6e、4e的超导磁通量子的存在,表明样品中存在相位相干的六电子与四电子束缚态。这是实验上首次得到多电子凝聚态的直接证据。作为一种全新的超越二电子凝聚的物质态,六(四)电子超导态的发现超越了长期以来传统认知中超导现象只源于两个电子构成的库珀对凝聚的图像,有望开辟物理领域的重要研究方向。同时,六电子凝聚超导态的发现揭示出磁通量子的分数化,拓展了分数量子化和多费米子态的研究。国际超导领域最高奖约翰·巴丁奖(John Bardeen Prize)获得者、美国加州大学的Chandra M. Varma院士在Journal Club for Condensed Matter Physics(凝聚态物理期刊俱乐部)上对该工作进行了高度评价和推荐。
该工作中,JDB电子娱乐官网量子材料科学中心博雅博士后葛军与博士生汪品源为共同第一作者,王健为通讯作者。合作者包括汪自强、雷和畅、沈洁、中国石油大学(北京)新能源与材料学院邢颖副教授等。
该工作得到了国家自然科学基金、国家重点研发计划、量子物质科学协同创新中心、北京市自然科学基金、中国博士后科学基金和美国能源部基础能源科学基金的支持。
论文链接:
https://journals.aps.org/prx/abstract/10.1103/PhysRevX.14.021025
Physical Review X Featured in Physics “VIEWPOINT”文章链接:https://physics.aps.org/articles/v17/80
Journal Club for Condensed Matter Physics评论链接:DOI: 10.36471/JCCM_March_2022_03